
BtoB情報検索サイト「イプロス」「イプロスものづくり」を運営する株式会社イプロス(本社:東京都港区)は、
「光学」の知識資料の第1章を公開しました。
<もくじ>
1. 光の基本的性質
2. 屈折による結像
3. 反射による結像光学系
4. 光の干渉
5. 光の回折
6. 光の偏光
資料DLはこちら
※ログインが必要です。登録状況により新規会員登録が必要な場合があります。
光の持つ性質である、精密性、高速性、多重性は、産業技術に求められる主要な要件を満たしています。カメラや顕微鏡、望遠鏡の高性能化には、高精度のレンズが大きく寄与しています。
最近では、半導体製造用露光装置(ステッパー)やコンパクトディスク(CD)などのように、光の波長限界に迫る光学機器も生まれています。光を利用した測長機や形状計測機器も、レーザの発明によって飛躍的な発展を示しました。
本連載では、6回にわたり光学の基礎知識について解説します。
第1回は、光の基本的な性質を紹介します。
<第1回 もくじ>
1. 光の伝わり方
2. 反射と屈折
3. 屈折率
・光の伝わり方
一般に、光は静止した光源から球面波(波面が球面である波)となって等方的に伝播(でんぱ)していきます。そして、光源からある程度離れた地点では、平面波(波面が平面である波)に近づきます。
真空中を伝播する光波の様子は、平面波の場合、模式的には図1のような電磁波の伝播として示されます。

【図1:電磁波の電場と磁場の関係】
図中のEは電場の強さのベクトル、Hは磁場の強さのベクトルを表します。
EとHは光の進行方向に垂直で、互いに直角の関係になっています。
光学では、ガラスやプラスチックのように自由な電荷を含まず、また電場を加えても電流が生じない媒質(誘電体)中の光を取り扱います。
空気も誘電体の一種と考えられます。
多くの場合、物質に対して電場の強さが重要な働きをするので、通常は光の記述にはEのみに注目し、Hは省略します。
図1のように伝播する光波のベクトルE、およびHは、それぞれ1つの平面内にあるので、進行してくる光を観測者が相対して正面から見ると、ベクトルの先端は1つの直線上を振動しているように見えます。
このような光を直線偏光といい、ベクトルの存在する面を振動面と呼びます。
通常、光学では電場ベクトルEの振動面を偏光面と呼び、偏光の表示にはこれを使います。
・単色平面波の表現
私たちが日常接する光は、図2のようにさまざまな波長を含み、それぞれの光波の長さ(波連)と強さが異なります。

【図2:光の波連】
ここでは、光の基本的な性質を理解するために、光波を無限の長さを持つ周期的な余弦波(あるいは正弦波)の単色平面波として考えます。
光波の振幅をA、波長をλ、時刻tとすると、真空中をx軸の正方向に進む平面波の変位E(スカラー)は、以下のように表せます。
E(x,t)=Acosk(x-ct)
ここで、cは真空中の光の速さ、k(=2π/λ)は波数を表します。
また、余弦関数内の変数k(x-ct) を、位相と呼びます。
図3 に、t=0(破線)、およびt=t0(実線)における光波の様子を示します。

【図3:進行波の様子】
さらに、kc=ω(角振動数)と置き換えると、次のように書くことができます。
E(x,t)=Acos(kx-ωt)
振動数ν(周波数)は、ν=c/λ となります。
・光波の重ね合わせと干渉性
次に、図4のような、1つの点光源から出た、波長の等しい2つの光波の重ね合わせを考えてみましょう。

【図4:2つの光波の重ね合わせ】
1つの点光源から同時刻に出た波長の等しい光は、異なる経路を経由して重ね合わせたとき、強め合ったり弱め合ったりする性質を持っています(光の干渉性)。
異なる経路を通ってきたそれぞれの光波の変位を、E1、E2とし、以下のように表します。
なお、2つの光波の光路差をΔとします。
E1(x,t)=Acos(kx-ωt)
E2(x,t)=Acos(k(x+Δ)-ωt)
E2はE1よりも位相がkΔだけ遅れています。観測点(x)における光波の状態は、それぞれの変位の和として表せます(重ね合わせの原理)。
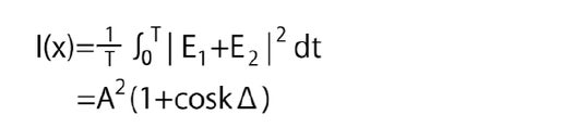
2つの光波の重ね合わせ強度I の時間平均は、次のように表せます(絶対値記号は、複素数表示の場合も想定して使用しています)。

ここで、重ね合わせ強度は光路差のみによって決まることが分かります。
光路差とは、光学的距離(屈折率x距離)の差をいいます。得られた結果を図5に示します。

【図5:2つの光波の重ね合わせ強度(Δ=光路差)】
光路差Δが0、あるいは波長の整数倍では、I(x)=2A2 となり、光路差Δが波長の半整数倍(λ/2+Nλ)ではI(x)=0 となります。
元の光波E1とE2が互いに干渉しない場合、強度は以下のように表せます(〈 〉は時間平均を表します)。
I(x)=〈|E1|2〉+〈|E2|2〉
=A2
この式から、光路差に関係なく一定の強度になることが分かります。
私たちが日常的に経験する光強度の状態は、このような場合がほとんどです。
図5から明らかなように、光路差Δの絶対値がλ/4より小さければ、2つの光波が強め合うことが分かります。
・光線の定義
光の等位相面は、平面波では2次元的な平面、球面波では点光源を中心にした球面になります。
例として、図6に平行光線がレンズで集光される場合の等位相面の様子を示します。
等位相面は点線で表しています。

【図6:等位相面(点線)の様子】
等位相面に垂直な直線は、平面波の場合、互いに平行な無数の直線群になり、球面波の場合、1点からの無数の放射状直線群になります。
光の進む様子を簡潔に表すには、これらの直線群から注目する点を通る直線を選び出せばよく、この直線は数学的に取り扱うのに非常に便利で、光線と呼ばれています。
・光の直進性と回折
光線の定義から、一様な媒質中では光が直進することは容易に理解できます。
球面波の場合でも事情は同じです。点光源からは無数の光線が出ているので、空間のある点には、必ず光源から直進してきた光が観測されます。
光の直進性を利用した典型的な例として、ピンホールカメラがあります。ピンホールカメラは、図7に示すように小さな針穴とスクリーン(2次元検出器)から成る、簡単な構造をしています。

【図7:ピンホールカメラ(ピンホール穴径による像のボケ)】
穴の大きさは0.3mmがよく、それより大きくても小さすぎても像がボケてしまいます。
物体の1点から出た光は、ピンホール全体を通ってスクリーンに到達します。
すなわち、1点から出た光がピンホールの形をスクリーン上に投影します。
図から明らかなように、ピンホールが大きいと重なりが生じ、ピンホールを小さくしていくと、この重なりは減少します。
ただし、小さすぎると回折によって広がりが生じ、再び像がボケ始めます。
回折は波長が長いと顕著に起こるので、ピンホールカメラは、レンズの製作が難しい短波長のx 線や、γ線の撮影などによく使われます。
・反射
私たちが光を最も身近に感じ、利用していているのが、光の反射です。
光の反射には、大きく分けると、光の入射方向に対して反射する方向が一定に決まる正反射と、反射の方向がさまざまな乱反射があります。日常、目にする物体表面は、見る位置を変えても大体見えるので、乱反射を起こすものがほとんどです。
むしろ、正反射のみを起こす物体は例外で、鏡のように目的を持って作らないと完全に近い正反射は得られません。
光学では、一般的に、正反射を反射と呼び、さまざまな性質を導き出します。
反射の法則は、図8に示すような理想的な境界平面において成り立ちます。

【図8:反射の法則】
入射面は、入射光線と境界面の交点で境界面に立てた法線と、入射光線の作る平面で定義されます。
この定義は、反射面の形状が球面、あるいは非球面になっても一般性を失いません。
すなわち、反射面は入射点を含み、入射面と同一平面上に存在することになります。
このように、反射光は入射面と同一平面内にあり、入射角(θi)=反射角(θr)の関係があります(反射の法則)。
・屈折
屈折率の異なる境界面では、屈折の法則に従って光の進行方向が変化します。
屈折率n は、光の真空中の速さcと媒質中の光の速さvとの比として、n=c/v と表されます。
図9に、屈折率の異なる媒質1(n1)、媒質2(n2)による屈折波の生成の模式図を示します。

【図9:屈折波の生成】
屈折率の異なる媒質1(n1)、媒質2(n2)の境界における屈折は、スネルの法則を使って次のように表されます。
n1sinθ1=n2sinθ2
ここで、θ1は入射角、θ2は屈折角を表します。図はn1<n2の場合です。
境界B点に達した光は、t秒後には媒質2の中を、点Bから距離v2tの点Dに進みます。
同じ時間内に等位相面上の点Aからの光は、距離v1t進んで点Cに至ります。
屈折率の定義から、n1=c/v1、n2=c/v2、さらに、BCsinθ1=v1t、BCsinθ2=v2t の関係を使うと、スネルの屈折の法則が得られます。
この屈折の様子を参考にして、真空中から屈折率nの媒質に垂直に平面波が入射した場合を考えてみましょう。図10で分かるように、境界面に達した光波は、その変位の状態(山や谷など)を保ったまま媒質に入射して屈折を起こします。

【図10:境界面での光の波長変化】
真空中から媒質に入射する単位時間当たりの光波の山や谷の数は同じです。
すなわち、波長は変化するものの、振動数は変わりません。
真空中と媒質中の振動数を等しいと置くと、c/λ=v/λn となります。
結果として媒質中の波長λn は、λn=λ/ n となることが分かります。
・光学的距離
媒質が変わると境界面で光の屈折が生じ、光の伝播が変化します。
さまざまな媒質を経て進んできた光の光路を、標準的な物差しに合わせる方法を考えてみましょう。
屈折率nの媒質中を、距離dだけ進むのに時間t かかったとすると、d=vt=ct/n の関係があるので、nd=ct となります。
すなわち、屈折率x 距離(nd)は、同じ時間内に光が真空中を進む距離ctに相当します。
この距離のことを光学的距離、あるいは光路長と呼びます。
・全反射
図11に示すように、屈折率の大きな媒質(n2)から、屈折率の小さな媒質(n1)へ光が進むときは、屈折角は入射角に比べて大きくなります。例えば、水中から空気中に光が進むときなどです。

【図11:全反射臨界角(θc)】
入射角が大きくなって屈折角が90°を超えると、入射した光の全てが反射する全反射を起こします。
屈折角が90°となるときの入射角を臨界角(θc)と呼びます。
このとき、屈折の法則の式から、sinθc=n1 / n2 の関係が成り立ちます。
この関係式は、全反射を起こす臨界角を実験的に求めて、未知の物質の屈折率を決める際に用いられます。
いかがでしたか? 今回は、光の基本的な性質を紹介しました。
次回は、屈折による結像について解説します。お楽しみに!
続きはDLしてご覧ください