千葉大学大学院薬学研究院の福本 泰典講師、小椋 康光教授、および東邦大学薬学部 鈴木 紀行教授の研究グループは、これまで必須ミネラルであるセレンの排泄形態と考えられていた「セレン糖(注1)」が、体内でセレンを安全に貯蔵・輸送する新しい生理的経路の主要分子であることを発見しました。
本研究成果によって、必須栄養素でありながら毒性の高いセレンについて、欠乏や過剰のリスクを最小限に抑えながら栄養補充を行うための新しい栄養制御技術やサプリメント開発への応用が期待されます。
本研究成果は、学術誌The Journal of Nutritionに2025年11月29日(現地時間)にオンライン公開されました。

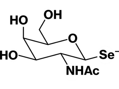
図1:セレン糖
■ 研究の背景
セレン(Se)は抗酸化酵素(注2)などを構成する生体必須微量元素(必須ミネラル)ですが、欠乏しても過剰になっても健康障害を引き起こすことが知られています。セレン欠乏は免疫異常・心筋障害などを引き起こし、セレン過剰は爪・毛の障害、神経症状、胃腸症状などを引き起こします。日本の食生活では問題となることはほとんどありませんが、中心静脈栄養や経腸栄養などではセレン欠乏が生じる可能性があり、注意が必要です。
セレンは非常に強い毒性を持ち「必要量と毒性量の差が極めて小さい元素」であるため、生体内で安全かつ効率的に貯蔵・利用する仕組みの理解が重要です。これまで、セレンは尿中で「セレン糖(selenosugar)」として排泄されることが知られていましたが、なぜ糖に結合するのかは不明でした。
一方、本研究グループは以前から、尿中排泄型セレン糖の前駆体と見なされるセレン糖(1β-seleno-N-acetyl-D-galactosamine; 図1)が臓器中に微量ながら存在することに着目し、このセレン糖こそが生理活性本体であり、体内でセレンを安全に貯蔵・輸送するキー分子であるという仮説を立てていました。そこで本研究では、尿中排泄型セレン糖の前駆体であるセレン糖が体内でセレン供給・貯蔵分子として機能する可能性を検証するため、生体での利用効率、毒性の有無、臓器分布、生体内での貯蔵方法(タンパク質との結合様式)などについて詳細に検討しました。
■ 研究の成果
1. セレン糖はセレン欠乏状態を回復できる
化学合成したセレン糖をセレン欠乏ラットに投与し、セレンの利用効率を評価しました。セレン糖はセレンを特異的に要求するタンパク質(セレンタンパク質)の血清中濃度を回復させ、その効果は医薬品として低セレン血症の治療に使用される亜セレン酸ナトリウムと同程度でした。したがって、セレン糖がセレン欠乏状態を回復させることが示されました。セレン糖は尿中排泄型セレン糖よりも強い効果を示し、このセレン糖が生理活性本体であることが示唆されました。
2. セレン糖は臓器内で貯蔵型セレンとして機能する
LC-ICP-MS(注3)を用いてラットの全身におけるセレン糖の分布を解析したところ、肝臓や腎臓などの臓器にセレン糖が存在することが明らかになりました。セレン糖はタンパク質の一部と結合して貯蔵される性質があり、その結合は生体内の酸化還元状態によって解離することも示唆されました。したがって、セレン糖は生体内におけるセレンの貯蔵形態であることが明らかとなり、肝臓や腎臓がセレンの重要な貯蔵庫であることが示唆されました。
3. セレン糖の毒性は極めて低い
ヒト肝がん細胞(HepG2)を用いてセレン糖の細胞毒性試験を実施したところ、医薬品として使われている亜セレン酸(注4)が1 mMの濃度で24時間以内にほぼ100%の細胞を死滅させたのに対し、セレン糖はまったく細胞毒性を示しませんでした(図2)。したがって、セレン糖が生体にとって安全な化学形態であることが明らかとなりました。

図2:ヒト肝がん細胞におけるセレン糖の細胞毒性試験 亜セレン酸でほぼすべての細胞が死滅する高濃度の条件であっても、セレン糖はまったく毒性を示さず、安全なセレン化合物であることが示された。
セレンの毒性はセレン化水素やメタンセレノールといった“反応性の高いセレン化合物”が主因となるとされていますが、セレン糖から直接これらの化合物を生成する酵素は知られていません。つまり、セレン糖は生体にとって“反応しすぎないセレン”として扱いやすく、過剰反応による毒性が起こりにくい化学形態であると考えられます。
本研究により、セレン糖が体内でセレンを安全に貯蔵および輸送する新しい生理的分子であることが明らかとなりました。低毒性でありながら利用効率が高いセレン糖は、従来知られていたセレノプロテインPとは別の輸送経路を形成する新たな「安全なセレン供給体」であり、生理活性本体であると言えます。特に肝臓から腎臓への分布はセレノプロテインPと同様であり、セレン糖がセレノプロテインPと協調して体内のセレン恒常性の維持に寄与すると考えられます。
■
今後の展望
本研究成果は、セレン欠乏症や老化関連疾患に対する新しい栄養学的・薬理学的アプローチへの応用が見込まれ、また安全性の高いセレンサプリメントや飼料添加剤の開発基盤ともなります。さらに、セレンは日本人に関わりの深い水銀やカドミウムなどの有害金属との相互作用が知られており、この相互作用を応用した健康の維持増進などのウェルビーイングに貢献することが期待されます。
現在、長期間の中心静脈栄養を受ける患者の低セレン血症には、治療薬として亜セレン酸ナトリウムが使用されています。亜セレン酸は毒性が比較的高いのに対し、セレン糖はほとんど毒性を示さず、さらに生体内で効率よく利用されることが、本研究によって明らかとなりました。この「安全で効率が良い」という性質は、セレン化合物としては極めて珍しく、安全性を重視したセレン補充療法の設計に大きく貢献すると考えられます。したがって、低セレン血症の治療においても、より安全なセレン糖を用いた新たな治療戦略の開発が期待されます。
■用語解説
注1)セレン糖:本研究グループが発見した分子 [DOI: 10.1016/S1570-0232(01)00581-5; 10.1073/pnas.252610699]。セレンの尿中排泄は生体必須微量元素(いわゆるミネラル)が特別な糖(N-アセチルガラクトサミン)と結合して尿中へ排泄されるという、生物学的にも化学的にもユニークな機構として知られている。
注2)抗酸化酵素:体の中で発生する「活性酸素(細胞を傷つける物質)」を無害化する酵素の総称。例えば、老化や病気の原因になる酸化ストレスから細胞を守り、健康維持に重要な働きをする。
注3)LC-ICP-MS:高速液体クロマトグラフィー(HPLC)と誘導結合プラズマ質量分析(ICP-MS)を組み合わせた分析法。カラムクロマトグラフィーにより化合物を化学形態に基づいて分離した後に、含有元素をICP-MSによって高感度に測定することで、微量元素の化学形態別分析を可能とする。
注4)亜セレン酸:体に必要なセレンを補うために使用され、低セレン血症の治療に用いられる。
■ 研究プロジェクトについて
本研究は科学研究費助成事業 (24K09793, 24H00749, 24K21304, 22K05345)、およびアジレントテクノロジーズ社のACT-460 UR プログラム (#4366, #4489) による支援を受けて行われました。
■ 論文情報
タイトル:Protein-conjugated 1β-seleno-N-acetyl-D-galactosamine plays key roles in selenium transport and storage in rats and mammalian cultured cells
著者:Noriyuki Suzuki, Yasunori Fukumoto, Yuka Maruyama, Natsuki Yomogita, Yu-ki Tanaka, Yasumitsu Ogra
雑誌名:The Journal of Nutrition
DOI:10.1016/j.tjnut.2025.11.024